
Какое на свете самое больше число, которое что–то означает? В этой статье я попытаюсь рассказать о цифровом монстре, называемом число Грэма,
эпиграф
Если долго всматриваться в бездну, можно неплохо провести время.
Инженер Механических Душ
Число Грэма на пальцах™
Как только ребенок (а это происходит где то года в три-четыре) понимает, что все числа делятся на три группы «один, два и много», он тут же пытается выяснить: насколько много бывает много, чем много отличается от очень много, и может ли оказаться так много, что больше не бывает. Наверняка вы играли с родителями в интересную (для того возраста) игру, кто назовет самое большее число, и если предок был не глупее пятиклассника, то он всегда выигрывал, на каждый «миллион» отвечая «два миллиона», а на «миллиард» — «два миллиарда» или «миллиард плюс один».
Уже к первому классу школы каждый знает — чисел бесконечное множество, они никогда не заканчиваются и самого большого числа не бывает. К любому миллиону триллионов миллиардов всегда можно сказать «плюс один» и остаться в выигрыше. А чуточку позже приходит (должно прийти!) понимание, что длинные строки цифр сами по себе ничего не значат. Все эти триллионы миллиардов только тогда имеют смысл, когда служат представлением какого — то количества предметов или же описывают некое явление. Выдумать длиннющее число, которое ничего из себя не представляет, кроме набора долго звучащих цифр, нет никакого труда, их итак бесконечное количество. Наука, в какой — то образной мере, занимается тем, что выискивает в этой необозримой бездне совершенно конкретные комбинации цифр, присовокупляя к некому физическому явлению, например скорости света, числу Авогадро или постоянной Планка.
И сразу же возникает вопрос, а какое на свете самое больше число, которое что–то означает? В этой статье я попытаюсь рассказать о цифровом монстре, называемом число Грэма, хотя строго говоря, науке известны числа и побольше. Число Грэма самое распиаренное, можно сказать «на слуху» у широкой публики, потому что оно довольно просто в объяснении и все же достаточно велико, чтобы вскружить голову. Вообще, тут необходимо объявить небольшой disclaimer (рус. предостережение). Пусть прозвучит как шутка, но я нифига не шучу. Говорю вполне серьезно — дотошное ковыряние в подобных математических глубинах в совокупности с безудержным расширением границ восприятия может оказать (и окажет) серьезное влияние на мироощущение, на позиционирование личности в обществе, и, в конечном итоге, на общее психологическое состояние ковыряющего, или, будем называть вещи своими именами — открывает дорогу к шизе. Не нужно чересчур внимательно вчитываться в нижеследующий текст, не стоит слишком ярко и живо представлять описываемые в нем вещи. И не говорите потом, что вас не предупреждали!
Пальцы:
Прежде чем переходить к числам–монстрам, потренируемся для начала на кошках. Напомню, что для описания больших чисел (не монстров, а просто больших чисел) удобно пользоваться научным или т.н. экспоненциальным способом записи.
Когда говорят, скажем, о количестве звезд во Вселенной (в Обозримой Вселенной), никакой идиот не лезет вычислять сколько их там в буквальном смысле с точностью до последней звезды. Считается, что примерно 10²¹ штук. И это оценка снизу. Значит общее количество звезд можно выразить числом, у которого после единицы стоит 21 ноль, т.е. «1 000 000 000 000 000 000 000».
Так выглядит небольшая часть из них (около 100 000) в шаровом скоплении Омега Центавра.

Естественно, когда речь идет о подобных масштабах, действительные цифры в числе существенного значения не играют, все ведь весьма условно и примерно. Может быть на самом деле число звезд во Вселенной «1 564 861 615 140 168 357 973», а может «9 384 684 643 798 468 483 745». А то и «3 333 333 333 333 333 333 333», почему нет, хотя маловероятно, конечно. В космологии, науке о свойствах Вселенной в целом, такими мелочами не морочатся. Главное представлять, что примерно это число состоит из 22 цифр, от чего удобней считать его единицей с 21 нулем, и записывать как 10²¹. Правило общее и весьма простое. Какая цифра или число стоят на месте степени (напечатаны мелким шрифтом сверху над 10), столько нолей после единицы будет в этом числе, если расписать его по–простецки, знаками подряд, а не по–научному. У некоторых чисел существуют «человеческие названия», например 10³ мы называем «тысяча», 10⁶ — «миллион», а 10⁹ — «миллиард», а у некоторых нет. Скажем у 10⁵⁹ нет общепринятого названия. А у 10²¹, кстати, есть — это «секстиллион».
Все, что идет до миллиона, практически любому человеку понятно интуитивно, ведь кто не хочет стать миллионером? Дальше у некоторых начинаются проблемы. Хотя миллиард (10⁹) тоже знают почти все. До миллиарда даже можно досчитать. Если только родившись, буквально в момент появления на свет начать считать раз в секунду «один, два, три, четыре…» и не спать, не пить, не есть, а только считать–считать–считать без устали днем и ночью, то когда стукнет 32 года можно досчитать до миллиарда, потому что 32 оборота Земли вокруг Солнца занимают примерно миллиард секунд.
7 миллиардов — количество людей планете. Исходя из вышеизложенного, посчитать их всех по порядку в течение человеческой жизни совершенно невозможно, придется прожить больше двухсот лет.
100 миллиардов (10¹¹) — столько или около того людей жило на планете за всю ее историю. 100 миллиардов гамбургеров продал Макдональдс к 1998 году за 50 лет своего существования. 100 миллиардов звезд (ну, чуть больше) находится в нашей галактике Млечный Путь, и Солнце — одна из них. Такое же количество галактик содержится в обозримой Вселенной. 100 миллиардов нейронов находится в головном мозге человека. И столько же анаэробных бактерий проживают у каждого читающего эти строки в слепой кишке.
Триллион (10¹²) — число, которым редко пользуются. До триллиона досчитать невозможно, на это уйдет 32 тысячи лет. Триллион секунд назад люди жили в пещерах и охотились с копьями на мамонтов. Да, триллион секунд назад на Земле жили мамонты. В океанах планеты примерно триллион рыб. В соседней с нами галактике Андромеды около триллиона звезд. Человек состоит из 10 триллионов клеток. ВВП России в 2013м году составил 66 триллионов рублей (в рублях 2013го года). От Земли до Сатурна 100 триллионов сантиметров и столько же букв в целом было отпечатано во всех когда–либо опубликованных книгах.
Квадриллион (10¹⁵, миллион миллиардов) — столько всего муравьев на планете. Это слово нормальные люди вслух не произносят, ну, признайтесь, когда вы последний раз в разговоре слышали «квадриллион чего–то»?
Квинтиллион (10¹⁸, миллиард миллиардов) — столько существует возможных конфигураций при сборке кубика Рубика 3х3х3. Так же количество кубометров воды в мировом океане.
Секстиллион (10²¹) — это число нам уже встречалось. Количество звезд в Обозримой Вселенной. Количество песчинок всех пустынь Земли. Количество транзисторов во всех существующих электронных устройствах человечества, если Intel нам не врал.
10 секстиллионов (10²²) — количество молекул в грамме воды.
10²⁴ — масса Земли в килограммах.
10²⁶ — диаметр Обозримой Вселенной в метрах, но в метрах считать не очень удобно, общепринятые границы Обозримой Вселенной 93 миллиарда световых лет.
Размерами, большими чем Обозримая Вселенная, наука не оперирует. Мы знаем наверняка, что Обозримая Вселенная это не вся–вся–вся Вселенная. Это та часть, что мы, хотя бы теоретически, можем видеть и наблюдать. Или могли видеть в прошлом. Или сможем увидеть когда–нибудь в отдаленном будущем, оставаясь в рамках современной науки. От остальных частей Вселенной даже со скоростью света сигналы не смогут до нас добраться, от чего этих мест с нашей точки зрения как бы не существует. Насколько велика та большая Вселенная на самом деле никто не знает. Может быть в миллион раз больше, чем Обозримая. А может в миллиард. А может и вообще бесконечная. Говорю же, это уже не наука, а гадание на кофейной гуще. У ученых есть кое–какие догадки, но это больше фантазии, чем реальность.
Для визуализации космических масштабов полезно изучить эту картинку, раскрыв ее на весь экран.

Однако даже в Обозримую Вселенную можно напихать гораздо больше чего–то другого, чем метры.
10⁵¹ атомов составляют планету Земля.
10⁸⁰ примерное количество элементарных частиц в Обозримой Вселенной.
10⁹⁰ примерное количество фотонов в Обозримой Вселенной. Их почти в 10 миллиардов раз больше, чем элементарных частиц, электронов и протонов.
10¹⁰⁰ — гугол. Это число ничего физически не значит, просто круглое и красивое. Компания, которая поставила себе целью индексировать гугол ссылок (шутка, конечно, это же больше, чем число элементарных частиц во Вселенной!) в 1998 году взяла себе название Google.
10¹²² протонов понадобится, чтобы набить Обозримую Вселенную под завязку, плотненько так, протончик к протончику, впритык.
10¹⁸⁵ планковских объемов занимает Обозримая Вселенная. Меньших величин, чем планковский объем (кубик размеров планковской длины 10⁻³⁵ метра) наша наука не знает. Наверняка, как и со Вселенной, там есть что–то еще более мелкое, но вменяемых формул для подобных мелочей ученые еще не придумали, одни сплошные спекуляции.
Получается, что 10¹⁸⁵ или около того — наибольшее число, которое в принципе может что–то значить в современной науке. В науке, которая может пощупать и измерить. Это то, что существует или могло бы существовать, если так случилось, что мы узнали о Вселенной все, что можно было узнать. Число состоит из 186 цифр, вот оно:
100 000 000 000 000 000 000 000 000 000 000 000 000 000 000 000 000 000 000 000 000 000 000 000 000 000 000 000 000 000 000 000 000 000 000 000 000 000 000 000 000 000 000 000 000 000 000 000 000 000 000 000 000 000 000 000 000 000 000 000 000 000
Наука здесь, конечно же, не заканчивается, но дальше уже идут вольные теории, догадки, а то и просто околонаучный чес и гон. Например, вы наверняка слышали про инфляционную теорию, согласно которой, возможно, наша Вселенная лишь часть более общей Мультивселенной, в которой этих вселенных как пузырей в океане шампанского.

Или слышали о теории струн, согласно которой может существовать около 10⁵⁰⁰ конфигураций колебаний струн, а значит такое же количество потенциальных вселенных, каждая со своими законами.
Чем дальше в лес, тем меньше теоретической физики и вообще науки остается в набирающих объемы числах, и за колонками нулей начинает проглядывать все более чистая, ничем не замутненная царица наук. Математика это ведь не физика, тут ограничений нет и стыдиться нечего, гуляй душа, пиши нули в формулах хоть до упаду.
Упомяну лишь известный многим гуголплекс. Число у которого гугол цифр, десять в степени гугол или десять в степени десять в степени сто
10¹⁰ ⁰⁰⁰ ⁰⁰⁰ ⁰⁰⁰ ⁰⁰⁰ ⁰⁰⁰ ⁰⁰⁰ ⁰⁰⁰ ⁰⁰⁰ ⁰⁰⁰ ⁰⁰⁰ ⁰⁰⁰ ⁰⁰⁰ ⁰⁰⁰ ⁰⁰⁰ ⁰⁰⁰ ⁰⁰⁰ ⁰⁰⁰ ⁰⁰⁰ ⁰⁰⁰ ⁰⁰⁰ ⁰⁰⁰ ⁰⁰⁰ ⁰⁰⁰ ⁰⁰⁰ ⁰⁰⁰ ⁰⁰⁰ ⁰⁰⁰ ⁰⁰⁰ ⁰⁰⁰ ⁰⁰⁰ ⁰⁰⁰ ⁰⁰⁰ ⁰⁰⁰

Не буду записывать его цифрами. Гуголплекс не значит абсолютно ничего. Человек не может представить себе гуголплекс чего бы то ни было, это физически невозможно. Чтобы записать такое число понадобится вся Обозримая Вселенная, если писать «нано–ручкой» прямо по вакууму фактически в планковские ячейки космоса. Переведем всю материю на чернила и заполним Вселенную одними сплошными цифрами, тогда получим гуголплекс. Но математики (страшные люди!) гуголпрексом только разминаются, это нижайшая планка, с которой для них стартуют настоящие ничтяки. И если вы думаете, что гуголплекс в степени гуголплекс это то, о чем пойдет речь, вы даже не представляете, НАСКОЛЬКО ошибаетесь.
За гуголплексом идут много интересных чисел, имеющих ту или иную роль в математических доказательствах, долго ли коротко, перейдем сразу к числу Грэма, названному так в честь (ну, естественно) математика Рональда Грэма. Сначала расскажу, что это такое и для чего нужно, после чего образно и на пальцах™ опишу, каково оно по величине, а затем уже напишу само число. Точнее попытаюсь объяснить, что же я написал.
Число Грэма появилось в работе, посвященной решению одной из задач в теории Рамсея, причем «рамсея» тут не деепричастие несовершенного вида, а фамилия другого математика, Франка Рамсея. Задача конечно же довольно надуманная с обывательской точки зрения, хоть и не сильно замороченная, даже легко понятная.
Представьте себе куб, все вершины которого соединены линиями–отрезками двух цветов, красного или синего. Соединены и раскрашены в случайном порядке. Кое–кто уже догадался, что речь пойдет о разделе математики под названием комбинаторика.

Сможем ли мы исхитриться и так подобрать конфигурацию цветов (а их всего два — красный и синий), чтобы при раскраске этих отрезков у нас НЕ ВЫШЛО, что все отрезки одного цвета, соединяющие четыре вершины, лежат в одной плоскости? В данном случае, НЕ представляют из себя такую фигуру:

Можете сами покумекать, покрутить куб в воображении перед глазами, сделать подобное не так уж и сложно. Цвета два, вершин (углов) у куба 8, значит отрезков их соединяющих — 28. Можно так подобрать конфигурацию раскраски, что мы нигде не получим вышеуказанной фигуры, во всех возможных плоскостях будут разноцветные линии.
А что, если у нас больше измерений? Что, если мы возьмем не куб, а четырехмерный куб, т.е. тессеракт? Сможем ли мы провернуть тот же фокус, что и с трехмерным?

Даже не стану объяснять, что такое четырехмерный куб, все знают? У четырехмерного куба 16 вершин. И не нужно пыжить мозг и пытаться представить четырехмерный куб. Это же чистая математика. Посмотрел на количество измерений, подставил в формулу, получил количество вершин, ребер, граней и так далее. Ну, или в Википедии подглядел, если формулы не помнишь. Итак у четырехмерного куба 16 вершин и 120 отрезков их соединяющих. Количество комбинаций раскраски в четырехмерном случае гораздо больше, чем в трехмерном, но и тут не сильно сложно посчитать, разделить, сократить и тому подобное. Короче выяснить, что в четырехмерном пространстве тоже можно так исхитриться с раскраской отрезков у гиперкуба, что все линии одного цвета, соединяющие 4 вершины, не будут лежать в одной плоскости.
В пятимерном? И в пятимерном, там где куб называется пентерактом или пентакубом, тоже можно.
И в шестимерном.
А дальше уже сложности. Грэм не смог математически доказать, что у семимерного гиперкуба удастся провернуть такую операцию. И у восьмимерного и у девятимерного и так далее. Но данное «и так далее», оказалось, не уходит в бесконечность, а заканчивается неким очень большим числом, которое и назвали «числом Грэма».
То есть существует какая–то минимальная размерность гиперкуба, при котором условие нарушается, и уже невозможно избежать комбинации раскраски отрезков, что четыре точки одного цвета будут лежать в одной плоскости. И эта минимальная размерность точно больше шести и точно меньше числа Грэма, в этом и заключается математическое доказательство ученого.
А теперь определение того, что я выше расписал на несколько абзацев, сухим и скучным (зато емким) языком математики. Понимать не надо, но не привести его я не могу.
Рассмотрим n–мерный гиперкуб и соединим все пары вершин для получения полного графа с 2n вершинами. Раскрасим каждое ребро этого графа либо в красный, либо в синий цвет. При каком наименьшем значении n каждая такая раскраска обязательно содержит раскрашенный в один цвет полный подграф с четырьмя вершинами, все из которых лежат в одной плоскости?
В 1971м году Грэм доказал, что указанная проблема имеет решение, и что это решение (количество размерности) лежит между числом 6 и неким большим числом, которое позже (не самим автором) было названо в его честь. В 2008м году доказательство улучшили, нижнюю границу подняли, теперь искомое количество размерностей лежит уже между числом 13 и числом Грэма. Математики не спят, работа идет, прицел сужается.
С 70х годов прошло немало лет, были найдены математические задачи в которых проявляются числа и побольше грэмова, но это первое число–монстр так поразило современников, понимавших о каких масштабах идет речь, что в 1980м году его включили в книгу рекордов Гиннесса, как «самое большое число, когда–либо участвовавшее в строгом математическом доказательстве» на тот момент.
Давайте попытаемся разобраться, насколько оно велико. Самое большое число, могущее иметь какой–то физический смысл 10¹⁸⁵, а если всю Обозримую Вселенную заполнить кажущимся бесконечным набором мизерных циферок, получим что–то соизмеримое сгуголплексом.
Представляете себе эту громаду? Вперед, назад, вверх, вниз, насколько хватает глаз и насколько хватает телескопа Хаббл, и даже насколько не хватает, до самых далеких галактик и заглядывая за них — цифры, цифры, цифры размером много меньше протона. Существовать такая Вселенная, конечно, долго не сможет, тут же в черную дыру схлопнется. Припоминаете, сколько информации можно теоретически уместить во Вселенную?
Число действительно огромно, рвет мозг. Оно не совсем точно равно гуголплексу, и у него нет названия, потому буду называть его «дохулион». Только что придумал, почему бы и нет. Количество планковских ячеек в Обозримой Вселенной, и в каждой ячейке записана цифра. Число содержит 10¹⁸⁵ цифр, его можно изобразить как

Раскроем двери восприятия чуть пошире. Помните инфляционную теорию? Что наша Вселенная лишь одна из многих пузырьков Мультивселенной. А если представить дохулион таких пузырьков? Возьмем число, длиною со все сущее и представим себе Мультивселенную с подобным количеством вселенных, каждая из которых под завязку исписана цифрами — получим дохулион дохулионов. Представляете себе такое? Как плывешь в небытии скалярного поля, а кругом вселенные–вселенные и в них цифры–цифры–цифры… Надеюсь, подобный кошмар (хотя, почему кошмар?) не будет мучить (и почему мучить?) излишне впечатлительного читателя по ночам.
Для удобства назовем подобную операцию «флип». Такое несерьезное междометие, как будто взяли Вселенную и вывернули наизнанку, то она была внутри в цифрах, а теперь наоборот у нас снаружи столько вселенных, сколько было цифр, и каждая полным–полна коробочка, сама вся в цифрах. Как гранат чистишь, корочку так отгибаешь, изнутри выворачиваются зернышки, а в зернышках снова гранаты. Тоже на ходу придумалось, почему бы и нет, с дохулионом ведь прокатило.
К чему я клоню? Стоит ли тормозить? Давайте, хоба, и еще один флип! И вот у нас столько вселенных, сколько было цифр во вселенных, количество которых было равно дохулиону цифр, заполнявших нашу Вселенную. И сразу, не останавливаясь, еще раз флип. И четвертый, и пятый. Десятый, тысячный. Успеваете за мыслью, все еще представляете себе картину?
Не будем мелочиться, распускаем крылья воображения, разгоняемся по полной и флипаем флип флипов. Столько раз выворачиваем каждую вселенную наизнанку, сколько дохулионов вселенных было в предыдущем флипе, который флипал из позапрошлого, который… эээ… ну, вы следите? Где–то так. Пусть теперь наше число станет, предположим, «дохулиард».
дохулиард = флип флипов
Не останавливаемся и продолжаем флипать дохулионы дохулиардов до тех пор пока есть силы. Пока в глазах не темнеет, пока не захочется кричать. Тут каждый сам себе отважный Буратина, стоп–слово будет «брынза».
Так вот. Это все о чем? Огромные и бесконечные дохулионы флипов и дохулиарды вселенных полных цифр не идут ни в какое сравнение с числом Грэма. Даже не скребут по поверхности. Если число Грэма представить в виде палки, растянутой по традиции во всю Обозримую Вселенную, то, что мы тут с вами нафлипали окажется засечкой толщины… ну… как бы это так, помягче выразить… недостойной упоминания. Вот, смягчал, как мог.
Теперь давайте немного отвлечемся, передохнем. Мы читали, мы считали, наши глазоньки устали. Забудем про число Грэма, до него еще ползти и ползти, расфокусируем взгляд, расслабимся, помедитируем на гораздо меньшее, прямо–таки миниатюрнейшее число, которое назовем g₁, и запишем всего шестью знаками:
g₁ = 3↑↑↑↑3
Число g₁ равно «три, четыре стрелочки, три». Что это значит? Так выглядит способ записи, называемый стрелочная нотация Кнута.
Для подробностей и деталей можно почитать статью в Википедии, но там формулы, я коротенько перескажу ее простыми словами.
Одна стрелочка означает обыкновенное возведение в степень.
2↑2 = 2² = 4
3↑3 = 3³ = 27
4↑4 = 4⁴ = 256
10↑10 = 10¹⁰ = 10 000 000 000
Две стрелочки означают, что понятно, возведение в степень степени.

Короче говоря, «число стрелочка стрелочка другое число» показывает, какая высота степеней (математики говорят «башня») выстраивается из первого числа. Например 5↑↑8 означает башню из восьми пятерок и настолько велико, что не может быть рассчитано ни на каком суперкомпьютере, даже на всех компьютерах планеты одновременно.

Переходим к трем стрелочкам. Если двойная стрелочка показывала высоту башни степеней, то тройная, казалось бы, укажет «высоту башни высоты башни»? Какой–там! В случае тройки мы имеем высоту башни высоты башни высоты башни (в математике такого понятия нет, я решил назвать его «безбашней»). Как–то так:

То есть 3↑↑↑3 образует безбашню из троек, высотой в 7 триллионов штук. Что такое 7 триллионов троек, поставленные друг на друга и именуемые «безбашней»? Если вы внимательно читали этот текст и не уснули в самом начале, вероятно помните, что от Земли до Сатурна 100 триллионов сантиметров. Тройка, показанная на экране двенадцатым шрифтом, вот эта — 3 — высотой миллиметров пять. Значит безбашня из троек протянется от вашего экрана… ну, не до Сатурна, конечно. Даже до Солнца не дотянется, всего четверть астрономической единицы, примерно как от Земли до Марса в хорошую погоду. Обращаю внимание (не спать!), что безбашня это не число длиной от Земли до Марса, это башня степеней такой высоты. Мы помним, что пять троек в этой башне покрывают гуголплекс, вычисление первого дециметра троек сжигает все предохранители компьютеров планеты, а остальные миллионы километров степеней уже как бы и ни к чему, они просто в открытую насмехаются над читателем, считать их бесполезно.

Теперь понятно, что 3↑↑↑4 = 3↑↑3↑↑3↑↑3 = 3↑↑3↑↑7 625 597 484 987 = 3↑↑безбашня, (не 3 в степени безбашни, а «три стрелочка стрелочка безбашня»(!)), она же безбашня безбашни не влезет ни по длине ни по высоте в Обозримую Вселенную, и даже не поместится в предполагаемую Мультивселенную.
На 3↑↑↑5 = 3↑↑3↑↑3↑↑3↑↑3 заканчиваются слова, а на 3↑↑↑6 = 3↑↑3↑↑3↑↑3↑↑3↑↑3 кончаются междометия, но можете потренироваться, коль есть интерес.
Переходим к четырем стрелочкам. Как вы уже догадались, тут безбашня на безбашне сидит, безбашней погоняет, и хоть с башней, что без башни — все равно. Просто молча приведу картинку, раскрывающую схему вычисления четырех стрелочек, когда каждое следующее число башни степеней определяет высоту башни степеней, определяющую высоту башни степеней, определяющую высоту башни степеней… и так до самозабвения.

Рассчитывать его бесполезно, да и не получится. Количество степеней здесь не поддается осмысленному учету. Это число невозможно представить, его невозможно описать. Никакие аналогии на пальцах™ неприменимы, число просто не с чем сравнивать. Можно говорить, что оно огромно, что грандиозно, что монументально и заглядывает за горизонт событий. То есть придать ему какие–то словесные эпитеты. Но визуализация, даже вольная и образная — невозможна. Если с тремя стрелочками еще хоть что–то удавалось сказать, нарисовать безбашню от Земли до Марса, как–то с чем–то сопоставить, то тут аналогий быть просто не может. Попробуйте вообразить себе тонкую башню из троек от Земли до Марса, рядом еще одну почти такую же и еще одну, и еще… Бескрайнее поле башень уходит вдаль, в бесконечность, башни повсюду, башни везде. И, что самое обидное, эти башни даже отношения к числу не имеют, они лишь определяют высоту других башен, которые нужно построить, чтобы получить высоту башень, чтобы получить высоту башень… чтобы через невообразимое количество времени и итераций получить само число.
Вот, что такое g₁, вот что такое 3↑↑↑↑3.
Передохнули? Теперь от g₁ с новыми силами возвращаемся к штурму числа Грэма. Заметили, как нарастает эскалация от стрелочки к стрелочке?
3↑3 = 27
3↑↑3 = 7 625 597 484 987
3↑↑↑3 = башня, высотой от Земли до Марса.
3↑↑↑↑3 = число, которое невозможно ни представить ни описать.
А вообразите какой цифровой кошмар творится, когда стрелок окажется пять? Когда их шесть? Можете представить число, когда стрелок будет сто? Если можете, позвольте предложить вашему вниманию число g₂, в котором количество этих стрелок оказывается равно g₁. Помните, что такое g₁, да?

Все, что было написано до сих пор, все эти расчеты, степени и башни не помещающиеся в мультивселенные мультивселенных нужны были только для одного. Чтобы показать КОЛИЧЕСТВО СТРЕЛОК в числе g₂. Тут уже не нужно ничего считать, можно просто рассмеяться и махнуть рукой.
Не буду скрывать, есть еще g₃, в котором содержится g₂ стрелок. Кстати, все еще понятно, что g₃, это не g₂ «в степени» g₂, а количество безбашен, определяющих высоту безбашен, определяющих высоту… и так по всей цепочке вниз до тепловой смерти Вселенной? Здесь можно начинать плакать.
Почему плакать? Потому что совершенно верно. Есть еще число g₄, в котором содержится g₃ стрелочек между тройками. Есть так же g₅, есть g₆ и g₇ и g₁₇ и g₄₃…
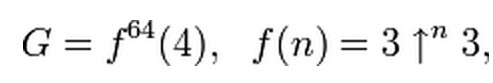
Короче их 64 штуки этих g. Каждое предыдущее численно равно количеству стрелок в следующем. Последнее g₆₄ и есть число Грэма, с которого все так вроде бы невинно начиналось. Это число размерностей гиперкуба, которого точно будет достаточно, чтобы правильно раскрасить отрезки красным и синим цветами. Может и меньше, это, так сказать, верхняя граница. Его записывают следующим образом:

а расписывают так:

Все, теперь можно расслабиться по–честному. Нет больше необходимости ничего представлять и рассчитывать. Если вы дочитали до этого места, уже как бы все должно встать на свои места. Или не встать. Или не на свои.
Да, опытный читатель с прокачанными предохранителями, не нужно упреков, вы абсолютно правы. Число Грэма — надуманная и высосанная из пальца фигня. Все эти безразмерные гиперкубы и абстрактные плоскости, дьявол их раздери, кому они нужны? Где килограммы, где электроны, где то, что можно измерить? Что за пустые разглагольствования ни о чем? Соглашусь. Можно сказать, что сегодняшний пост на пальцах™ максимально, на сколько это было возможно, далек от реальной науки, почти весь целиком парит в каких–то заумных математических фантазиях, в то время как ученым не хватает денег на приборы, не решена мировая энергетическая проблема, а у кого–то все еще туалет во дворе. А у кого и в поле.
Но знаете, есть такая теория, тоже весьма эфемерная и философская, может слышали — все, что человек мог себе представить или вообразить обязательно когда–нибудь воплотится. Потому что развитие цивилизации определяется по тому, насколько она смогла воплотить в реальность фантазии прошлого.
Истории человеческой цивилизации 10 000 лет. Задумайтесь, человечеству всего 10 000 лет! Хотя отдельному человеку в виде прямоходящей обезьяны без хвоста дают 4 миллиона. Все эти 4 миллиона лет спустившаяся с деревьев обезьяна училась держать палку и добывать огонь. Только десять тысяч лет назад появилось какое–то первое подобие общества, человек вышел из пещер и начал строить дома и деревни. Герой того времени (уже довольно цивилизованный по современным меркам) не мог посчитать дальше сотни тысяч (а просто нечего было считать больше такого количества), не имел понятия о среднем арифметическом и не знал суммы квадратов катетов. Этого великого открытия нужно было дожидаться много веков, не одну тысячу лет. 4000 лет назад человек был уверен, что молнии в небе происходят лично от Зевса, 2000 лет назад считал, что можно развести руками воды моря, стоит только заручиться поддержкой влиятельной особы, тогда как родственные узы дадут возможность ходить по воде. 500 лет назад человек доказал, что Земля круглая, 400 — что вертится вокруг Солнца, 200 лет назад узнал о свойствах пара приводить в движение мертвый металл, а около 100 лет назад был уверен, что полеты на аппаратах тяжелее воздуха невозможны. 70 лет назад человечество догадалось, как расщепить атом, 60 лет назад вышло в космос, а еще через 15 открыло для себя число Грэма. 20 лет назад мы увидели самую далекую, одну из самых первых сформировавшихся после Большого Взрыва галактик и тогда же примерно запустили общемировую информационную сеть, выведя цивилизацию на следующий качественный уровень развития. Десять лет назад к этой сети подключилась половина населения планеты.
Никто не знает, что ждет нас в будущем. У человеческой цивилизации есть тысячи способов закончиться: ядерные войны, экологические катастрофы, смертоносные пандемии, астероид какой может прилететь, динозавры не дадут соврать. Развитие человечества может остановиться само собой, вдруг есть такой закон, что по достижению определенного уровня развитие просто прекращается и все. Или прилетят представители межгалактического союза и остановят это развитие силой.
Но есть все–таки, и не маленький, шанс, что развитие человечества продолжится без остановки. Пусть даже не такое головокружительно быстрое, как в последние 100 лет, главное, что движение вперед, главное, что поступательное.
У природы есть один незыблемый закон, известный нам с самой давней древности. Как бы ни было, что бы ни случилось, что бы мы себе ни думали, но время никуда не денется, оно пройдет. Хотим мы этого или не хотим, с нами или без — пройдут и тысяча и 10 тысяч лет.
200 лет назад ковер–самолет (обычный самолет), волшебное зеркало (скайп видео) или тридевятое царство (поверхность планеты Марс) казались несбыточной сказкой, 2000 лет назад полагались только богам, 20 000 лет такого вообще представить не могли, способностей воображения не хватало. Вы можете сказать, что будет доступно человеку через 200 лет? Через 2000, через 20000 лет?
Выживет ли человечество, будет ли это вообще человечество с приставкой «чело–», а может к тому времени и этап Искусственного Интеллекта закончится, порождая какие–то эфирные энергетические субстанции особой категории осознанности? Может да, может нет.
А если пройдет миллион лет? А ведь он пройдет, куда денется. Число Грэма, и вообще все, о чем человек способен задуматься, представить, вытащить из небытия и сделать пусть не осязаемой, но хотя бы имеющей какой–то смысл сущностью — обязательно рано или поздно воплотится. Просто потому, что сегодня у нас хватило сил развиться до способности осознания подобного.
Сегодня, завтра, когда будет возможность — запрокиньте голову в ночное небо. Помните этот момент ощущения собственной ничтожности? Чувствуете, какой человек крошечный? Пылинка, атом по сравнению с безбрежной Вселенной, которая звезд полна, коим числа нет, ну, и бездна, соответственно, тоже не маленькая.
В следующий раз попробуйте ощутить, какая Вселенная песчинка по сравнению с тем, что происходит в голове. Какая пучина открывается, какие неизмеримые концепции рождаются, какие миры строятся, как Вселенная флипается наизнанку одним только движением мысли, как и насколько живая, разумная материя отличается от мертвой и неразумной.
Я верю, что через какое–то время человек дотянется до числа Грэма, дотронется до него рукой, или что у него к тому времени будет вместо руки. Это не обоснованная, научно доказанная мысль, это действительно всего лишь надежда, то, что меня вдохновляет. Не Вера с большой буквы, не религиозный экстаз, не учение и не духовная практика. Это то, чего я жду от человечества. В чем стремлюсь, в меру сил, помочь. Хоть и продолжаю из осторожности причислять себя к агностикам.